跳转至内容
Merck
CN

32242

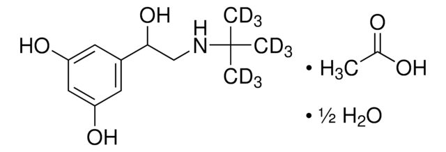
Terbutaline-(tert-butyl-d9) acetate salt hemihydrate

VETRANAL®, analytical standard

别名:

5-(2-tert-Butyl-d9-amino-1-hydroxyethyl)benzene-1,3-diol acetate salt hemihydrate

登录 查看组织和合同定价。

选择尺寸

变更视图

关于此项目

经验公式(希尔记法):
C12D9H10NO3 · C2H4O2 · 0.5H2O
分子量:
303.40
UNSPSC Code:
41116107
NACRES:
NA.24
技术服务
需要帮助?我们经验丰富的科学家团队随时乐意为您服务。
让我们为您提供帮助


grade

analytical standard

Quality Level

product line

VETRANAL®

storage condition

under inert gas

technique(s)

HPLC: suitable, gas chromatography (GC): suitable

format

neat

storage temp.

2-8°C

SMILES string

O.CC(O)=O.CC(O)=O.[2H]C([2H])([2H])C(C)(NCC(O)c1cc(O)cc(O)c1)C([2H])([2H])[2H].[2H]C([2H])([2H])C(NCC(O)c2cc(O)cc(O)c2)(C([2H])([2H])[2H])C([2H])([2H])[2H]

Application

Refer to the product′s Certificate of Analysis for more information on a suitable instrument technique. Contact Technical Service for further support.

Legal Information

VETRANAL is a registered trademark of Merck KGaA, Darmstadt, Germany


存储类别

11 - Combustible Solids

wgk

WGK 3

flash_point_f

Not applicable

flash_point_c

Not applicable

法规信息

监管及禁止进口产品

此项目有



历史批次信息供参考:

分析证书(COA)

Lot/Batch Number

没有发现合适的版本?

如果您需要特殊版本,可通过批号或批次号查找具体证书。

已有该产品?

在文件库中查找您最近购买产品的文档。

访问文档库



Hadas Grossman et al.
Reproduction (Cambridge, England) (2019-12-17)
miR-125a-3p, a post-transcription regulator of Fyn kinase, is expressed in mouse pre-ovulatory follicles; its expression within the follicle decreases towards ovulation. Our aim was to follow the synthesis of miR-125a-3p and regulation of its expression in all follicular compartments, focusing



全球贸易项目编号

货号GTIN
32242-10MG04061826703014