跳转至内容
Merck
CN

32916

伏马毒素 B3-13C34 溶液

~10 μg/mL in acetonitrile: water, analytical standard

登录 查看组织和合同定价。

选择尺寸


关于此项目

经验公式(希尔记法):
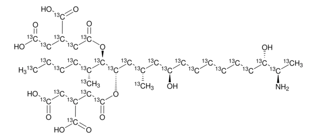
13C34H59NO14
分子量:
739.58
NACRES:
NA.24
PubChem Substance ID:
UNSPSC Code:
85151701
MDL number:
技术服务
需要帮助?我们经验丰富的科学家团队随时乐意为您服务。
让我们为您提供帮助
技术服务
需要帮助?我们经验丰富的科学家团队随时乐意为您服务。
让我们为您提供帮助

InChI

1S/C34H59NO14/c1-5-6-11-21(3)32(49-31(43)19-24(34(46)47)17-29(40)41)27(48-30(42)18-23(33(44)45)16-28(38)39)15-20(2)14-25(36)12-9-7-8-10-13-26(37)22(4)35/h20-27,32,36-37H,5-19,35H2,1-4H3,(H,38,39)(H,40,41)(H,44,45)(H,46,47)/t20-,21+,22+,23?,24?,25+,26-,27-,32+/m0/s1/i1+1,2+1,3+1,4+1,5+1,6+1,7+1,8+1,9+1,10+1,11+1,12+1,13+1,14+1,15+1,16+1,17+1,18+1,19+1,20+1,21+1,22+1,23+1,24+1,25+1,26+1,27+1,28+1,29+1,30+1,31+1,32+1,33+1,34+1

SMILES string

[13CH3][13CH2][13CH2][13CH2][13C@@H]([13CH3])[13C@@H](O[13C](=O)[13CH2][13CH]([13CH2][13C](O)=O)[13C](O)=O)[13C@H]([13CH2][13C@@H]([13CH3])[13CH2][13C@H](O)[13CH2][13CH2][13CH2][13CH2][13CH2][13CH2][13C@H](O)[13C@@H]([13CH3])N)O[13C](=O)[13CH2][13CH]([13CH2][13C](O)=O)[13C](O)=O

InChI key

CPCRJSQNWHCGOP-BMFHXWBQSA-N

grade

analytical standard

shelf life

limited shelf life, expiry date on the label

concentration

~10 μg/mL in acetonitrile: water

technique(s)

HPLC: suitable, gas chromatography (GC): suitable

application(s)

cleaning products
cosmetics
food and beverages
personal care

format

single component solution

mass shift

M+34

storage temp.

−20°C

General description

Both labeled and non-labeled single-component solutions of fumonisin B3-13C34 (10 μg/mL in acetonitrile: water) are offered for precise quality control of food and feed.

Application

Refer to the product′s Certificate of Analysis for more information on a suitable instrument technique. Contact Technical Service for further support.

Analysis Note

purity : ≥97.0% (HPLC)

pictograms

FlameExclamation mark

signalword

Danger

Hazard Classifications

Acute Tox. 4 Oral - Eye Irrit. 2 - Flam. Liq. 2

存储类别

3 - Flammable liquids

wgk

WGK 2

flash_point_f

42.8 °F

flash_point_c

6 °C

法规信息

高风险级别生物产品--病毒,疫苗等
危险化学品
此项目有

历史批次信息供参考:

分析证书(COA)

Lot/Batch Number

没有发现合适的版本?

如果您需要特殊版本,可通过批号或批次号查找具体证书。

已有该产品?

在文件库中查找您最近购买产品的文档。

访问文档库

我们的科学家团队拥有各种研究领域经验,包括生命科学、材料科学、化学合成、色谱、分析及许多其他领域.

联系客户支持