跳转至内容
Merck
CN

43019

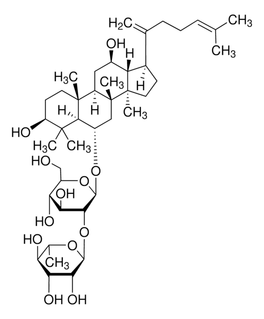
Ginsenoside Rg6

analytical standard

别名:

(3β,6α,12β)-3,12-Dihydroxydammara-20,24-dien-6-yl 2-O-(6-deoxy-β-L-mannopyranosyl)-β-D-glucopyranoside

登录 查看组织和合同定价。

选择尺寸


关于此项目

经验公式(希尔记法):
C42H70O12
化学文摘社编号:
分子量:
767.00
NACRES:
NA.24
UNSPSC Code:
85151701
技术服务
需要帮助?我们经验丰富的科学家团队随时乐意为您服务。
让我们为您提供帮助
技术服务
需要帮助?我们经验丰富的科学家团队随时乐意为您服务。
让我们为您提供帮助

grade

analytical standard

assay

≥90.0% (HPLC)

shelf life

limited shelf life, expiry date on the label

application(s)

food and beverages

format

neat

storage temp.

2-8°C

General description

Ginsenoside Rg6 (GRg6) is a rare component of the black ginseng (BG). It is a specific protopanaxatriol (PPT)-type ginsenoside which is capable of exhibiting enhanced anti-inflammatory and anti-oxidation effects compared to commercial ginsenosides.

Application

Ginsenoside Rg6 may be used as an analytical reference standard for the determination of the analyte in Panax ginseng preparations, Chinese medicine formula Sheng-Mai San (SMS), and rat plasma post the administration of SMS by chromatography based techniques.

存储类别

11 - Combustible Solids

wgk

WGK 3

flash_point_f

Not applicable

flash_point_c

Not applicable


历史批次信息供参考:

分析证书(COA)

Lot/Batch Number

没有发现合适的版本?

如果您需要特殊版本,可通过批号或批次号查找具体证书。

已有该产品?

在文件库中查找您最近购买产品的文档。

访问文档库

Functional mechanism of Ginsenosides on tumor growth and metastasis
Chen T, et al.
Saudi Journal of Biological Sciences, 25(5), 917-922 (2018)
Identification of multiple constituents in the traditional Chinese medicine formula Sheng-Mai San and rat plasma after oral administration by HPLC-DAD-MS/MS
Wang YH, etal.
Journal of Pharmaceutical and Biomedical Analysis, 54(5), 1110-1127 (2011)
Simultaneous determination of 30 ginsenosides in Panax ginseng preparations using ultra performance liquid chromatography
Park HW, et al.
Journal of ginseng research, 37(4), 457-457 (2013)
Rapid affinity chromatographic isolation method for LDL in human plasma by immobilized chondroitin-6-sulfate and anti-apoB-100 antibody monolithic disks in tandem
Liangsupree T, et al.
Scientific Reports, 9(1), 1-10 (2019)

我们的科学家团队拥有各种研究领域经验,包括生命科学、材料科学、化学合成、色谱、分析及许多其他领域.

联系客户支持