登录 查看组织和合同定价。
选择尺寸
变更视图
关于此项目
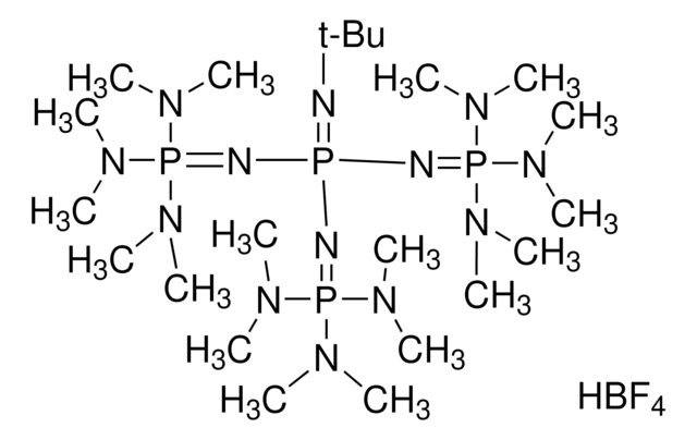
经验公式(希尔记法):
C22H63N13P4 · BF4H
化学文摘社编号:
分子量:
721.53
UNSPSC Code:
12352000
MDL number:
assay
≥97.0% (NMR)
mp
330-340 °C (dec.)
signalword
Warning
hcodes
Hazard Classifications
Eye Irrit. 2 - Skin Irrit. 2 - STOT SE 3
target_organs
Respiratory system
存储类别
11 - Combustible Solids
wgk
WGK 3
flash_point_f
Not applicable
flash_point_c
Not applicable
ppe
dust mask type N95 (US), Eyeshields, Gloves
法规信息
新产品
此项目有
