跳转至内容
Merck
CN

90378

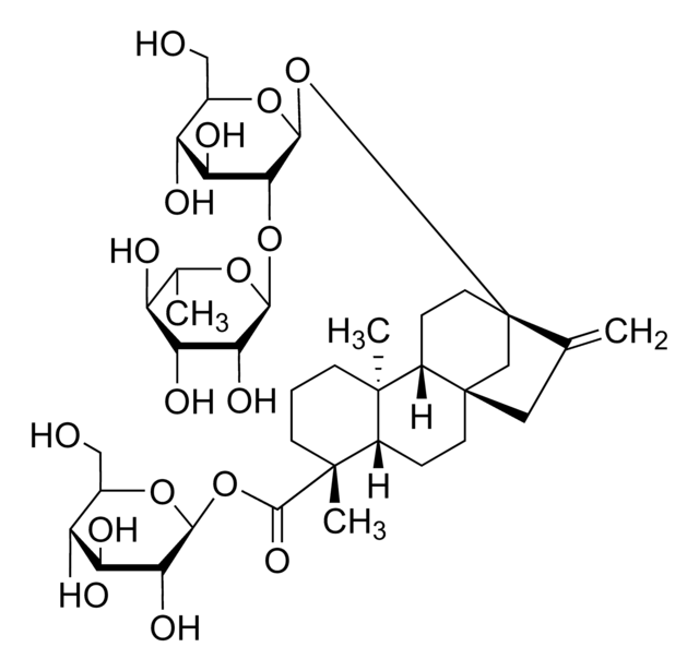
Dulcoside A

analytical standard

别名:

(4α)-13-[[2-O-(6-Deoxy-α-L-mannopyranosyl)-β-D-glucopyranosyl]oxy]kaur-16-en-18-oic acid β-D-glucopyranosyl ester

登录 查看组织和合同定价。

选择尺寸


关于此项目

经验公式(希尔记法):
C38H60O17
化学文摘社编号:
分子量:
788.87
NACRES:
NA.24
UNSPSC Code:
85151701
技术服务
需要帮助?我们经验丰富的科学家团队随时乐意为您服务。
让我们为您提供帮助
技术服务
需要帮助?我们经验丰富的科学家团队随时乐意为您服务。
让我们为您提供帮助

InChI

1S/C38H60O17/c1-16-12-37-10-6-20-35(3,8-5-9-36(20,4)34(49)54-32-29(48)26(45)23(42)18(13-39)51-32)21(37)7-11-38(16,15-37)55-33-30(27(46)24(43)19(14-40)52-33)53-31-28(47)25(44)22(41)17(2)50-31/h17-33,39-48H,1,5-15H2,2-4H3/t17-,18+,19+,20-,21-,22-,23+,24+,25+,26-,27-,28+,29+,30+,31-,32-,33-,35+,36+,37+,38-/m0/s1

InChI key

CANAPGLEBDTCAF-NTIPNFSCSA-N

SMILES string

C[C@@H]1O[C@@H](O[C@@H]2[C@@H](O)[C@H](O)[C@@H](CO)O[C@H]2O[C@]34CC[C@H]5[C@]6(C)CCC[C@](C)([C@H]6CC[C@@]5(CC3=C)C4)C(=O)O[C@@H]7O[C@H](CO)[C@@H](O)[C@H](O)[C@H]7O)[C@H](O)[C@H](O)[C@H]1O

grade

analytical standard

assay

≥95.0% (HPLC)

shelf life

limited shelf life, expiry date on the label

technique(s)

HPLC: suitable, gas chromatography (GC): suitable

impurities

≤12.0% water

application(s)

cleaning products
cosmetics
food and beverages
personal care

format

neat

General description

Componentof stevia.
Dulcoside A is a steviol glycoside, extracted from the leaves of Stevia rebaudiana bertoni plant. It may find applications as a natural sweetener.

Application

Refer to the product′s Certificate of Analysis for more information on a suitable instrument technique. Contact Technical Service for further support.

存储类别

11 - Combustible Solids

wgk

WGK 3

flash_point_f

Not applicable

flash_point_c

Not applicable


历史批次信息供参考:

分析证书(COA)

Lot/Batch Number

没有发现合适的版本?

如果您需要特殊版本,可通过批号或批次号查找具体证书。

已有该产品?

在文件库中查找您最近购买产品的文档。

访问文档库

Beaming steviol glycoside analysis into the next dimension
Zimmermann.FB
Food Chemistry, 241, 150-153 (2018)
Advances in Asteraceae Research and Application: 2013 Edition: ScholarlyBrief (2013)

我们的科学家团队拥有各种研究领域经验,包括生命科学、材料科学、化学合成、色谱、分析及许多其他领域.

联系客户支持