跳转至内容
Merck
CN

94265

铀酰离子载体 I

Selectophore

别名:

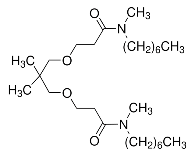
ETH 295, N,N′-二庚基-N,N′,6,6-四甲基-4,8-二氧杂十一烷二酰胺

登录 查看组织和合同定价。

选择尺寸


关于此项目

经验公式(希尔记法):
C27H54N2O4
化学文摘社编号:
分子量:
470.73
UNSPSC Code:
26111700
NACRES:
NB.61
PubChem Substance ID:
MDL number:
Beilstein/REAXYS Number:
2305577
技术服务
需要帮助?我们经验丰富的科学家团队随时乐意为您服务。
让我们为您提供帮助
技术服务
需要帮助?我们经验丰富的科学家团队随时乐意为您服务。
让我们为您提供帮助

InChI

1S/C27H54N2O4/c1-7-9-11-13-15-19-28(5)25(30)17-21-32-23-27(3,4)24-33-22-18-26(31)29(6)20-16-14-12-10-8-2/h7-24H2,1-6H3

SMILES string

CCCCCCCN(C)C(=O)CCOCC(C)(C)COCCC(=O)N(C)CCCCCCC

InChI key

UZKSGXIBTHOXEO-UHFFFAOYSA-N

product line

Selectophore

form

liquid

Quality Level

General description

请访问 传感器应用门户网站 了解更多信息。

Packaging

Bottomless glass bottle. Contents are inside inserted fused cone.

Other Notes

用于在电极中测定铀酰的离子载体

Legal Information

Selectophore is a trademark of Merck KGaA, Darmstadt, Germany

存储类别

12 - Non Combustible Liquids

wgk

WGK 3

flash_point_f

Not applicable

flash_point_c

Not applicable

ppe

Eyeshields, Gloves

法规信息

新产品
此项目有

历史批次信息供参考:

分析证书(COA)

Lot/Batch Number

It looks like we've run into a problem, but you can still download Certificates of Analysis from our 文件 section.

如需帮助,请联系 客户支持

已有该产品?

在文件库中查找您最近购买产品的文档。

访问文档库

P.A. Bertrand et al.
Analytical Chemistry, 55, 364-364 (1983)
J. Senkyr et al.
Analytical Chemistry, 51, 786-786 (1979)
E. Malinowska
Analyst, 115, 1085-1085 (1990)

我们的科学家团队拥有各种研究领域经验,包括生命科学、材料科学、化学合成、色谱、分析及许多其他领域.

联系客户支持