跳转至内容
Merck
CN

94344

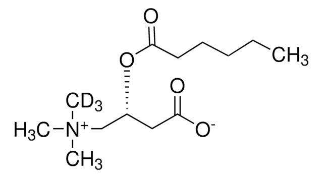
己酰左旋肉碱 -D3

analytical standard

别名:

(2R)-3-羧基-N,N-二甲基-N-(甲基-d3)-2-[(1-氧己基)氧基] -1-丙烷 内盐, (R)-己酰基肉碱-(N-甲基-d3)

登录 查看组织和合同定价。

选择尺寸


关于此项目

经验公式(希尔记法):
C13D3H22NO4
分子量:
262.36
UNSPSC Code:
12352200
技术服务
需要帮助?我们经验丰富的科学家团队随时乐意为您服务。
让我们为您提供帮助
技术服务
需要帮助?我们经验丰富的科学家团队随时乐意为您服务。
让我们为您提供帮助

grade

analytical standard

assay

≥97.0% (TLC)

optical activity

[α]/D -20±2°, c = 0.1 in H2O

shelf life

limited shelf life, expiry date on the label

extent of labeling

≥99.0%

application(s)

clinical testing

format

neat

storage temp.

−20°C

Quality Level

存储类别

11 - Combustible Solids

wgk

WGK 3

flash_point_f

Not applicable

flash_point_c

Not applicable


历史批次信息供参考:

分析证书(COA)

Lot/Batch Number

没有发现合适的版本?

如果您需要特殊版本,可通过批号或批次号查找具体证书。

已有该产品?

在文件库中查找您最近购买产品的文档。

访问文档库

我们的科学家团队拥有各种研究领域经验,包括生命科学、材料科学、化学合成、色谱、分析及许多其他领域.

联系客户支持