跳转至内容
Merck
CN

68656

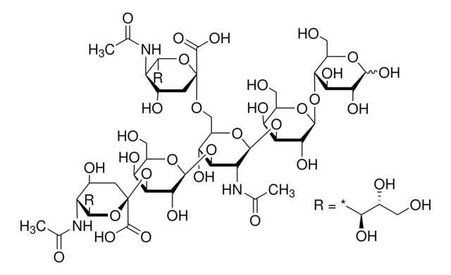
Disialyllacto-N-tetraose

≥95.0% (TLC)

别名:

α-Neu5Ac-(2→3)-β-Gal-(1→3)-[α-Neu5Ac-(2→6)]-β-GlcNAc-(1→3)-β-Gal-(1→4)-Glc

登录 查看组织和合同定价。

选择尺寸


关于此项目

经验公式(希尔记法):
C48H79N3O37
化学文摘社编号:
分子量:
1290.14
PubChem Substance ID:
UNSPSC Code:
12352201
技术服务
需要帮助?我们经验丰富的科学家团队随时乐意为您服务。
让我们为您提供帮助
技术服务
需要帮助?我们经验丰富的科学家团队随时乐意为您服务。
让我们为您提供帮助

产品名称

Disialyllacto-N-tetraose, ≥95.0% (TLC)

InChI

1S/C48H79N3O37/c1-12(57)49-23-15(60)4-47(45(74)75,86-37(23)26(64)17(62)6-52)78-11-22-30(68)36(25(51-14(3)59)42(82-22)85-39-28(66)19(8-54)80-43(33(39)71)83-35-21(10-56)79-41(73)32(70)31(35)69)84-44-34(72)40(29(67)20(9-55)81-44)88-48(46(76)77)5-16(61)24(50-13(2)58)38(87-48)27(65)18(63)7-53/h15-44,52-56,60-73H,4-11H2,1-3H3,(H,49,57)(H,50,58)(H,51,59)(H,74,75)(H,76,77)/t15-,16-,17+,18+,19+,20+,21+,22+,23+,24+,25+,26+,27+,28-,29-,30+,31+,32+,33+,34+,35-,36+,37+,38+,39-,40-,41?,42-,43-,44-,47+,48-/m0/s1

InChI key

FCIROHDMPFOSFG-SRQCWDAHSA-N

SMILES string

CC(=O)N[C@@H]1[C@@H](O)C[C@@](OC[C@H]2O[C@@H](O[C@H]3[C@@H](O)[C@@H](CO)O[C@@H](O[C@@H]4[C@H](O)[C@@H](O)C(O)O[C@@H]4CO)[C@@H]3O)[C@H](NC(C)=O)[C@@H](O[C@@H]5O[C@H](CO)[C@H](O)[C@H](O[C@@]6(C[C@H](O)[C@@H](NC(C)=O)[C@@H](O6)[C@H](O)[C@H](O)CO)C(O)=O)[C@H]5O)[C@@H]2O)(O[C@H]1[C@H](O)[C@H](O)CO)C(O)=O

assay

≥95.0% (TLC)

storage temp.

−20°C

Application

Disialyllacto-N-tetraose, is a milk oligosaccharide, used to prevents necrotising enterocolitis in neonates. Disialyllacto-N-tetraose is used as a reference molecule in procedures that measure slialylated oligosaccharides from milk.

Packaging

Bottomless glass bottle. Contents are inside inserted fused cone.

存储类别

13 - Non Combustible Solids

wgk

WGK 3

flash_point_f

Not applicable

flash_point_c

Not applicable

ppe

Eyeshields, Gloves, type N95 (US)


历史批次信息供参考:

分析证书(COA)

Lot/Batch Number

没有发现合适的版本?

如果您需要特殊版本,可通过批号或批次号查找具体证书。

已有该产品?

在文件库中查找您最近购买产品的文档。

访问文档库

J C Paulson et al.
European journal of biochemistry, 140(3), 523-530 (1984-05-02)
Rat liver Golgi apparatus are shown to have a CMP-N-acetylneuraminate: N-acetylglucosaminide (alpha 2----6)-sialyltransferase which catalyzes the conversion of the human milk oligosaccharide LS-tetrasaccharide-a (NeuAc alpha 2----3Gal beta 1---- 3GlcNAc beta 1----3Gal beta 1----4Glc) to disialyllacto -N- tetraose containing the terminal
M Elwakiel et al.
Journal of agricultural and food chemistry, 66(27), 7036-7043 (2018-06-19)
To study the variability in human milk oligosaccharide (HMO) composition of Chinese human milk over a 20-wk lactation period, HMO profiles of 30 mothers were analyzed using CE-LIF. This study showed that total HMO concentrations in Chinese human milk decreased

我们的科学家团队拥有各种研究领域经验,包括生命科学、材料科学、化学合成、色谱、分析及许多其他领域.

联系客户支持