跳转至内容
Merck
CN

74393

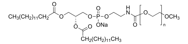
N-(Carbonyl-methoxypolyethylenglycol 2000)-1,2-dimyristoyl-sn-glycero-3-phosphoethanolamine sodium salt

≥98.0% (TLC)

别名:

1,2-Dimyristoyl-sn-glycero-3-phosphoethanolamine, Carbonyl-methoxypolyethylenglycol 2000 labeled, MPEG-2000-DMPE Na

登录 查看组织和合同定价。

选择尺寸


关于此项目

化学文摘社编号:
NACRES:
NA.85
UNSPSC Code:
12352211
技术服务
需要帮助?我们经验丰富的科学家团队随时乐意为您服务。
让我们为您提供帮助
技术服务
需要帮助?我们经验丰富的科学家团队随时乐意为您服务。
让我们为您提供帮助

assay

≥98.0% (TLC)

form

powder

functional group

PEG, phospholipid

lipid type

phospholipids

shipped in

ambient

storage temp.

room temp

Quality Level

Packaging

Bottomless glass bottle. Contents are inside inserted fused cone.

存储类别

13 - Non Combustible Solids

wgk

WGK 3

flash_point_f

Not applicable

flash_point_c

Not applicable

法规信息

新产品
此项目有

历史批次信息供参考:

分析证书(COA)

Lot/Batch Number

没有发现合适的版本?

如果您需要特殊版本,可通过批号或批次号查找具体证书。

已有该产品?

在文件库中查找您最近购买产品的文档。

访问文档库

我们的科学家团队拥有各种研究领域经验,包括生命科学、材料科学、化学合成、色谱、分析及许多其他领域.

联系客户支持