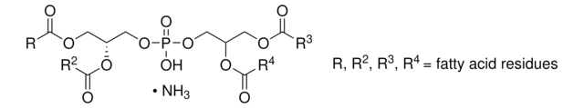
SMILES string
N.OCC(O)COP(O)(=O)OC[C@H](O)CO
biological source
egg yolk (lecithin)
assay
≥99.0% (TLC)
form
liquid
composition
16:0, ~36% (fatty acid), 18:0, ~10% (fatty acid), 18:1, ~33% (fatty acid), 18:2, ~14% (fatty acid)
concentration
1% in chloroform: methanol (49:1)
functional group
phospholipid
lipid type
phosphoglycerides
shipped in
wet ice
storage temp.
−20°C
Preparation Note
by reaction of egg-yolk PC with cabbage phospholipase D in the presence of glycerol
signalword
Danger
Hazard Classifications
Acute Tox. 3 Inhalation - Acute Tox. 4 Oral - Aquatic Chronic 3 - Carc. 2 - Eye Irrit. 2 - Repr. 2 - Skin Irrit. 2 - STOT RE 1 - STOT SE 3
target_organs
Central nervous system, Liver,Kidney
存储类别
6.1C - Combustible acute toxic Cat.3 / toxic compounds or compounds which causing chronic effects
wgk
WGK 3
flash_point_f
Not applicable
flash_point_c
Not applicable
ppe
Eyeshields, Faceshields, Gloves, type ABEK (EN14387) respirator filter
法规信息
新产品
此项目有
我们的科学家团队拥有各种研究领域经验,包括生命科学、材料科学、化学合成、色谱、分析及许多其他领域.
联系客户支持
