跳转至内容
Merck
CN

92582

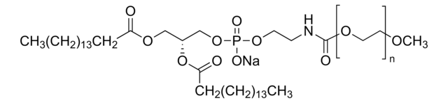
N-(Carbonyl-methoxypolyethylenglycol 2000)-1,2-dipalmitoyl-sn-glycero-3-phosphoethanolamine sodium salt

≥98.0% (TLC)

别名:

1,2-Dipalmitoyl-sn-glycero-3-phosphoethanolamine, Carbonyl-methoxypolyethylenglycol 2000 labeled, MPEG-2000-DPPE Na

登录 查看组织和合同定价。

选择尺寸


关于此项目

化学文摘社编号:
NACRES:
NA.85
UNSPSC Code:
51191904
技术服务
需要帮助?我们经验丰富的科学家团队随时乐意为您服务。
让我们为您提供帮助
技术服务
需要帮助?我们经验丰富的科学家团队随时乐意为您服务。
让我们为您提供帮助

assay

≥98.0% (TLC), ≥98.0% fatty acid basis (as palmitic acid)

form

powder

functional group

PEG, phospholipid

lipid type

phosphoglycerides

shipped in

ambient

storage temp.

room temp

Packaging

Bottomless glass bottle. Contents are inside inserted fused cone.

存储类别

11 - Combustible Solids

wgk

WGK 3

flash_point_f

Not applicable

flash_point_c

Not applicable


历史批次信息供参考:

分析证书(COA)

Lot/Batch Number

没有发现合适的版本?

如果您需要特殊版本,可通过批号或批次号查找具体证书。

已有该产品?

在文件库中查找您最近购买产品的文档。

访问文档库

我们的科学家团队拥有各种研究领域经验,包括生命科学、材料科学、化学合成、色谱、分析及许多其他领域.

联系客户支持