跳转至内容
Merck
CN

C8792

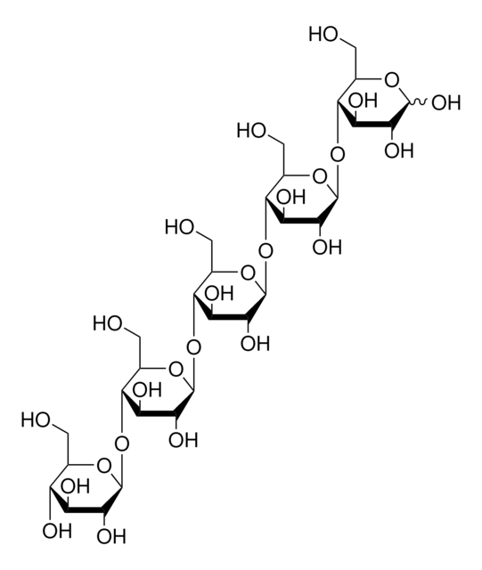
Cellopentaose

≥80%

别名:

(β-D-Glc-[1→4])4-D-Glc, D(+)-Cellopentaose

登录 查看组织和合同定价。

选择尺寸


关于此项目

经验公式(希尔记法):
C30H52O26
化学文摘社编号:
分子量:
828.72
UNSPSC Code:
12352201
NACRES:
NA.25
PubChem Substance ID:
MDL number:
Beilstein/REAXYS Number:
79497
技术服务
需要帮助?我们经验丰富的科学家团队随时乐意为您服务。
让我们为您提供帮助
技术服务
需要帮助?我们经验丰富的科学家团队随时乐意为您服务。
让我们为您提供帮助

InChI

1S/C30H52O26/c31-1-7(37)13(39)23(8(38)2-32)53-28-20(46)16(42)25(10(4-34)50-28)55-30-22(48)18(44)26(12(6-36)52-30)56-29-21(47)17(43)24(11(5-35)51-29)54-27-19(45)15(41)14(40)9(3-33)49-27/h1,7-30,32-48H,2-6H2/t7-,8+,9+,10+,11+,12+,13+,14+,15-,16+,17+,18+,19+,20+,21+,22+,23+,24+,25+,26+,27-,28-,29-,30-/m0/s1

SMILES string

OC[C@@H](O)[C@@H](O[C@@H]1O[C@H](CO)[C@@H](O[C@@H]2O[C@H](CO)[C@@H](O[C@@H]3O[C@H](CO)[C@@H](O[C@@H]4O[C@H](CO)[C@@H](O)[C@H](O)[C@H]4O)[C@H](O)[C@H]3O)[C@H](O)[C@H]2O)[C@H](O)[C@H]1O)[C@H](O)[C@@H](O)C=O

InChI key

FJCUPROCOFFUSR-YIQJLYQHSA-N

biological source

synthetic (organic)

assay

≥80%

form

powder

storage temp.

−20°C

正在寻找类似产品? 访问 产品对比指南

Application

Cellopentaose, a 5-glucose cellulodextrin derived from cellulose degradation similar to cellulobiose (2-glucose), cellulotriose (3-glucose), and cellulotetraose (4-glucose), is used by cellulosic bacteria as source of energy. Cellopentaose may be used to help identify, differentiate and characterize oligosaccharide metabolizing enzymes such as endoglucanases and β-glucosidase(s). Cellopentaose may be used in saccharification and ethanol fermentation research.

Other Notes

To gain a comprehensive understanding of our extensive range of Polysaccharides for your research, we encourage you to visit our Carbohydrates Category page.

存储类别

13 - Non Combustible Solids

wgk

WGK 3

flash_point_f

Not applicable

flash_point_c

Not applicable

ppe

Eyeshields, Gloves, type N95 (US)

法规信息

涉药品监管产品
此项目有

历史批次信息供参考:

分析证书(COA)

Lot/Batch Number

没有发现合适的版本?

如果您需要特殊版本,可通过批号或批次号查找具体证书。

已有该产品?

在文件库中查找您最近购买产品的文档。

访问文档库

Maíra N de Almeida et al.
Bioresource technology, 143, 413-422 (2013-07-04)
A novel multienzyme complex, E1C, and a free endoglucanase, E2 (GH5), from Fusarium verticillioides were purified. The E1C contained two endoglucanases (GH6 and GH10), one cellobiohydrolase (GH7) and one xylanase (GH10). Maximum activity was observed at 80 °C for both
Dejan M Petrović et al.
Protein science : a publication of the Protein Society, 27(9), 1636-1650 (2018-07-05)
The catalytically crucial N-terminal histidine (His1) of fungal lytic polysaccharide monooxygenases (LPMOs) is post-translationally modified to carry a methylation. The functional role of this methylation remains unknown. We have carried out an in-depth functional comparison of two variants of a
Kyong-Cheol Ko et al.
Journal of microbiological methods, 94(3), 311-316 (2013-07-31)
Exocellulases play a key role in cleaving the accessible ends of cellulose molecules to release soluble glucose and cellobiose. To date, there have been no screens for exocellulase owing to assay protocol limitations, the high cost of substrates, and low
Angel Angelov et al.
Scientific reports, 7(1), 17306-17306 (2017-12-13)
The discovery of novel and robust enzymes for the breakdown of plant biomass bears tremendous potential for the development of sustainable production processes in the rapidly evolving new bioeconomy. By functional screening of a metagenomic library from a volcano soil
Camila R Santos et al.
The Biochemical journal, 441(1), 95-104 (2011-09-02)
Cellulases participate in a number of biological events, such as plant cell wall remodelling, nematode parasitism and microbial carbon uptake. Their ability to depolymerize crystalline cellulose is of great biotechnological interest for environmentally compatible production of fuels from lignocellulosic biomass.

我们的科学家团队拥有各种研究领域经验,包括生命科学、材料科学、化学合成、色谱、分析及许多其他领域.

联系客户支持