跳转至内容
Merck
CN

D2407

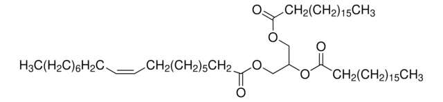
1,2-Distearoyl-3-oleoyl-rac-glycerol

~99%

别名:

1,2-Dioctadecanoyl-3-(cis-9-octadecenoyl)-rac-glycerol

登录 查看组织和合同定价。

选择尺寸


关于此项目

经验公式(希尔记法):
C57H108O6
化学文摘社编号:
分子量:
889.46
UNSPSC Code:
12352211
PubChem Substance ID:
MDL number:
技术服务
需要帮助?我们经验丰富的科学家团队随时乐意为您服务。
让我们为您提供帮助
技术服务
需要帮助?我们经验丰富的科学家团队随时乐意为您服务。
让我们为您提供帮助

assay

~99%

form

solid

functional group

ester

shipped in

ambient

storage temp.

−20°C

SMILES string

CCCCCCCCCCCCCCCCCC(=O)OCC(COC(=O)CCCCCCC\C=C\CCCCCCCC)OC(=O)CCCCCCCCCCCCCCCCC

InChI

1S/C57H108O6/c1-4-7-10-13-16-19-22-25-28-31-34-37-40-43-46-49-55(58)61-52-54(63-57(60)51-48-45-42-39-36-33-30-27-24-21-18-15-12-9-6-3)53-62-56(59)50-47-44-41-38-35-32-29-26-23-20-17-14-11-8-5-2/h25,28,54H,4-24,26-27,29-53H2,1-3H3/b28-25+

InChI key

YFFIQXNTTVSKJC-AZPGRJICSA-N

存储类别

13 - Non Combustible Solids

wgk

WGK 3

flash_point_f

Not applicable

flash_point_c

Not applicable

ppe

Eyeshields, Gloves, type N95 (US)

法规信息

新产品

此项目有


历史批次信息供参考:

分析证书(COA)

Lot/Batch Number

没有发现合适的版本?

如果您需要特殊版本,可通过批号或批次号查找具体证书。

已有该产品?

在文件库中查找您最近购买产品的文档。

访问文档库

我们的科学家团队拥有各种研究领域经验,包括生命科学、材料科学、化学合成、色谱、分析及许多其他领域.

联系客户支持