登录 查看组织和合同定价。
选择尺寸
变更视图
关于此项目
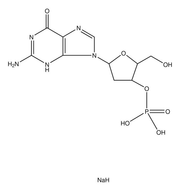
经验公式(希尔记法):
C10H14N5O7P · xNa+
化学文摘社编号:
分子量:
347.22 (free acid basis)
UNSPSC Code:
41106305
PubChem Substance ID:
MDL number:
assay
≥90%
storage temp.
−20°C
SMILES string
[Na].NC1=NC(=O)c2ncn(C3CC(OP(O)(O)=O)C(CO)O3)c2N1
Application
2′-Deoxyguanosine 3-monophosphate (3′-dGMP) may be used to study the physical nature of mesophases of guanosine gels. 3′-dGMP is also used as a model compound to study mechanisms of nucleotide oxidation and of DNA adduct formation.
signalword
Warning
hcodes
Hazard Classifications
Eye Irrit. 2 - Skin Irrit. 2 - STOT SE 3
存储类别
11 - Combustible Solids
wgk
WGK 3
flash_point_f
Not applicable
flash_point_c
Not applicable
ppe
dust mask type N95 (US), Eyeshields, Gloves
法规信息
新产品
此项目有
Yukari Totsuka et al.
Chemical research in toxicology, 15(10), 1288-1294 (2002-10-22)
A mutagenic heterocyclic amine (HCA), 9-(4'-aminophenyl)-9H-pyrido[3,4-b]indole (aminophenylnorharman, APNH), is produced in the presence of S9 mix by the reaction of norharman and aniline, both of which are nonmutagenic and abundantly present in our environment. It has been previously reported that
Sunhee Choi et al.
Inorganic chemistry, 45(25), 10108-10114 (2006-12-05)
The kinetics of redox reactions of the PtIV complexes trans-Pt(d,l)(1,2-(NH2)2C6H10)Cl4 ([PtIVCl4(dach)]) and Pt(NH2CH2CH2NH2)Cl4 ([PtIVCl4(en)]) with 5'- and 3'-dGMP (G) have been studied. These redox reactions involve substitution followed by an inner-sphere electron transfer. The substitution is catalyzed by PtII and
Sunhee Choi et al.
Journal of the American Chemical Society, 127(6), 1773-1781 (2005-02-11)
Many transition-metal complexes mediate DNA oxidation in the presence of oxidizing radiation, photosensitizers, or oxidants. The DNA oxidation products depend on the nature of the metal complex and the structure of the DNA. Earlier we reported trans-d,l-1,2-diaminocyclohexanetetrachloroplatinum (trans-Pt(d,l)(1,2-(NH(2))(2)C(6)H(10))Cl(4), [Pt(IV)Cl(4)(dach)]; dach
Laura Rudd et al.
Physical chemistry chemical physics : PCCP, 8(37), 4347-4358 (2006-09-21)
The unusual columnar aqueous mesophases of self-assembled guanosine stacks, such as 2'-deoxyguanosine 5'-monophosphate and 2'-deoxyguanosine 3'-monophosphate, are analyzed in terms of a general theory of azimuthal correlations between the charged helices. This theory considers forces, specific to the helical structure
我们的科学家团队拥有各种研究领域经验,包括生命科学、材料科学、化学合成、色谱、分析及许多其他领域.
联系客户支持