跳转至内容
Merck
CN

E4625

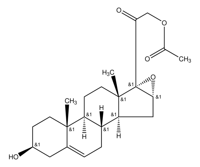
16,17-Epoxy-21-acetoxypregnenolone

≥98%

别名:

16α,17α-Epoxy-3β,21-dihydroxy-5-pregnen-20-one 21-acetate

登录 查看组织和合同定价。

选择尺寸


关于此项目

经验公式(希尔记法):
C23H32O5
化学文摘社编号:
分子量:
388.50
NACRES:
NA.77
PubChem Substance ID:
UNSPSC Code:
12352202
MDL number:
Assay:
≥98%
技术服务
需要帮助?我们经验丰富的科学家团队随时乐意为您服务。
让我们为您提供帮助
技术服务
需要帮助?我们经验丰富的科学家团队随时乐意为您服务。
让我们为您提供帮助

产品名称

16,17-Epoxy-21-acetoxypregnenolone, ≥98%

InChI

1S/C23H32O5/c1-13(24)27-12-19(26)23-20(28-23)11-18-16-5-4-14-10-15(25)6-8-21(14,2)17(16)7-9-22(18,23)3/h4,15-18,20,25H,5-12H2,1-3H3/t15-,16+,17-,18-,20+,21-,22-,23+/m0/s1

SMILES string

[H][C@@]12CC=C3C[C@@H](O)CC[C@]3(C)[C@@]1([H])CC[C@@]4(C)[C@@]2([H])C[C@H]5O[C@@]45C(=O)COC(C)=O

InChI key

ZGLUWNAFPZDBGF-QJZOTDIVSA-N

assay

≥98%

存储类别

11 - Combustible Solids

wgk

WGK 3

flash_point_f

Not applicable

flash_point_c

Not applicable

ppe

Eyeshields, Gloves, type N95 (US)

法规信息

新产品
此项目有

历史批次信息供参考:

分析证书(COA)

Lot/Batch Number

没有发现合适的版本?

如果您需要特殊版本,可通过批号或批次号查找具体证书。

已有该产品?

在文件库中查找您最近购买产品的文档。

访问文档库

我们的科学家团队拥有各种研究领域经验,包括生命科学、材料科学、化学合成、色谱、分析及许多其他领域.

联系客户支持