跳转至内容
Merck
CN

O3755

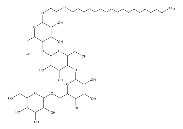
Octadecylthioethyl 4-O-(4-O-[6-O-α-D-glucopyranosyl-α-D-glucopyranosyl]-α-D-glucopyranosyl)-β-D-glucopyranoside

≥95%

别名:

α-D-Glc-(1→6)-α-D-Glc-(1→4)-α-D-Glc-(1→4)-β-D-Glc-1→O-OTE

登录 查看组织和合同定价。

选择尺寸


关于此项目

经验公式(希尔记法):
C44H82O21S
化学文摘社编号:
分子量:
979.17
NACRES:
NA.25
PubChem Substance ID:
UNSPSC Code:
12352201
MDL number:
技术服务
需要帮助?我们经验丰富的科学家团队随时乐意为您服务。
让我们为您提供帮助
技术服务
需要帮助?我们经验丰富的科学家团队随时乐意为您服务。
让我们为您提供帮助

assay

≥95%

form

solid

storage temp.

−20°C

SMILES string

CCCCCCCCCCCCCCCCCCSCCOC1OC(CO)C(OC2OC(CO)C(OC3OC(COC4OC(CO)C(O)C(O)C4O)C(O)C(O)C3O)C(O)C2O)C(O)C1O

InChI

1S/C44H82O21S/c1-2-3-4-5-6-7-8-9-10-11-12-13-14-15-16-17-19-66-20-18-58-41-37(56)33(52)39(26(22-46)61-41)65-44-38(57)34(53)40(27(23-47)62-44)64-43-36(55)32(51)30(49)28(63-43)24-59-42-35(54)31(50)29(48)25(21-45)60-42/h25-57H,2-24H2,1H3

InChI key

LCVLXPYSKDKYEK-UHFFFAOYSA-N

存储类别

13 - Non Combustible Solids

wgk

WGK 3

flash_point_f

Not applicable

flash_point_c

Not applicable

ppe

Eyeshields, Gloves, type N95 (US)

法规信息

新产品

此项目有


历史批次信息供参考:

分析证书(COA)

Lot/Batch Number

没有发现合适的版本?

如果您需要特殊版本,可通过批号或批次号查找具体证书。

已有该产品?

在文件库中查找您最近购买产品的文档。

访问文档库

P Hallgren et al.
The Journal of biological chemistry, 252(3), 1034-1040 (1977-02-10)
The excretion rates of different oligosaccharides in the urine of two individuals, a blood group O, nonsecretor woman, and a blood group A, secretor woman, were studied at different times during pregnancy and lactation. Quantitative determinations of di-, tri-, and
M Kuriyama et al.
Journal of biochemistry, 98(4), 1041-1047 (1985-10-01)
Neutral oligosaccharides were isolated from urine of an adult patient with glycogen storage disease type II, a deficiency of lysosomal acid alpha-glucosidase, by chromatography on columns of activated charcoal, Dowex 50 X 2 and Dowex 1 X 2. Total neutral

全球贸易项目编号

货号GTIN
O3755-5MG04061833275757

我们的科学家团队拥有各种研究领域经验,包括生命科学、材料科学、化学合成、色谱、分析及许多其他领域.

联系客户支持