跳转至内容
Merck
CN

P1225

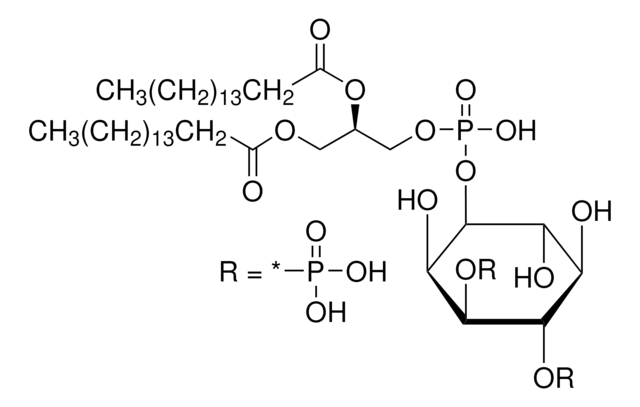
L-α-Phosphatidyl-D-myo-inositol 3,4-diphosphate, dipalmitoyl

登录 查看组织和合同定价。

选择尺寸


关于此项目

经验公式(希尔记法):
C41H81O19P3
化学文摘社编号:
分子量:
970.99
UNSPSC Code:
12352200
PubChem Substance ID:
MDL number:
技术服务
需要帮助?我们经验丰富的科学家团队随时乐意为您服务。
让我们为您提供帮助
技术服务
需要帮助?我们经验丰富的科学家团队随时乐意为您服务。
让我们为您提供帮助

InChI

1S/C41H81O19P3/c1-3-5-7-9-11-13-15-17-19-21-23-25-27-29-34(42)55-31-33(57-35(43)30-28-26-24-22-20-18-16-14-12-10-8-6-4-2)32-56-63(53,54)60-39-36(44)37(45)40(58-61(47,48)49)41(38(39)46)59-62(50,51)52/h33,36-41,44-46H,3-32H2,1-2H3,(H,53,54)(H2,47,48,49)(H2,50,51,52)/t33-,36-,37-,38+,39+,40+,41+/m1/s1

SMILES string

CCCCCCCCCCCCCCCC(=O)OC[C@H](COP(O)(=O)O[C@H]1[C@H](O)[C@@H](O)[C@H](OP(O)(O)=O)[C@@H](OP(O)(O)=O)[C@H]1O)OC(=O)CCCCCCCCCCCCCCC

InChI key

HKWJHKSHEWVOSS-OMDJCSNQSA-N

solubility

DMSO: soluble, chloroform: soluble, ethanol: soluble

storage temp.

−20°C

Biochem/physiol Actions

Activates Ca2+-insensitive PKC isotypes δ, ε, and η; activates Akt (a serine-threonine kinase also known as PKBα) by direct interaction with the Akt pleckstrin homology domain.

存储类别

11 - Combustible Solids

wgk

WGK 3

flash_point_f

Not applicable

flash_point_c

Not applicable

ppe

Eyeshields, Gloves, type N95 (US)

法规信息

新产品
此项目有

历史批次信息供参考:

分析证书(COA)

Lot/Batch Number

没有发现合适的版本?

如果您需要特殊版本,可通过批号或批次号查找具体证书。

已有该产品?

在文件库中查找您最近购买产品的文档。

访问文档库

J Van der Kaay et al.
The Journal of biological chemistry, 274(50), 35963-35968 (1999-12-10)
Signaling by phosphatidylinositol (PI) 3-kinases is mediated by 3-phosphoinositides, which bind to Pleckstrin homology (PH) domains that are present in a wide spectrum of proteins. PH domains can be classified into three groups based on their different lipid binding specificities.
A Toker et al.
The Journal of biological chemistry, 269(51), 32358-32367 (1994-12-23)
The effect of phosphoinositides on the activity of protein kinase C (PKC) isotypes was investigated. PKC alpha, beta I, beta II, gamma, delta, epsilon, eta, and zeta were expressed in baculovirus-infected insect cells and purified by column chromatography. The calcium-activated
T F Franke et al.
Science (New York, N.Y.), 275(5300), 665-668 (1997-01-31)
The regulation of the serine-threonine kinase Akt by lipid products of phosphoinositide 3-kinase (PI 3-kinase) was investigated. Akt activity was found to correlate with the amount of phosphatidylinositol-3,4-bisphosphate (PtdIns-3,4-P2) in vivo, and synthetic PtdIns-3,4-P2 activated Akt both in vitro and

我们的科学家团队拥有各种研究领域经验,包括生命科学、材料科学、化学合成、色谱、分析及许多其他领域.

联系客户支持