跳转至内容
Merck
CN

SMB00307

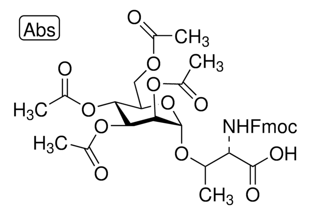
Fmoc-L-Thr((Ac)4-α-D-Man)-OH

≥95% (HPLC)

别名:

Fmoc-L-Thr((Ac)4-α-D-Man)-OH, N-α-(9-Fluorenylmethyloxycarbonyl)-O-β-(2,3,4,6-tetra-O-acetyl-α-D-mannopyranosyl)-L-threonine

登录 查看组织和合同定价。

选择尺寸

变更视图

关于此项目

经验公式(希尔记法):
C33H37NO14
化学文摘社编号:
分子量:
671.65
UNSPSC Code:
12352201
PubChem Substance ID:
NACRES:
NA.22
技术服务
需要帮助?我们经验丰富的科学家团队随时乐意为您服务。
让我们为您提供帮助


biological source

synthetic (organic)

assay

≥95% (HPLC)

form

powder

functional group

Fmoc

storage temp.

−20°C

SMILES string

CC(OC[C@H]1O[C@H](OC(C)[C@H](NC(OCC2C3=C(C4=C2C=CC=C4)C=CC=C3)=O)C(O)=O)[C@@H](OC(C)=O)[C@@H](OC(C)=O)[C@@H]1OC(C)=O)=O

InChI

1S/C33H37NO14/c1-16(27(31(39)40)34-33(41)43-14-25-23-12-8-6-10-21(23)22-11-7-9-13-24(22)25)44-32-30(47-20(5)38)29(46-19(4)37)28(45-18(3)36)26(48-32)15-42-17(2)35/h6-13,16,25-30,32H,14-15H2,1-5H3,(H,34,41)(H,39,40)/t16?,26?,27-,28+,29-,30?,32-/m0/s1

InChI key

PTSXZIRHPAUPGC-UHKHZQOWSA-N

Biochem/physiol Actions

Protein O-mannosylation is an essential modification in fungi and animals. In contrast to most other types of protein O-glycosylation, it is initiated in the endoplasmic reticulum via transfer from dolichol monophosphate-activated mannose.


存储类别

11 - Combustible Solids

wgk

WGK 3

flash_point_f

Not applicable

flash_point_c

Not applicable

法规信息

新产品

此项目有



历史批次信息供参考:

分析证书(COA)

Lot/Batch Number

没有发现合适的版本?

如果您需要特殊版本,可通过批号或批次号查找具体证书。

已有该产品?

在文件库中查找您最近购买产品的文档。

访问文档库