搜索范围
收货
产品分类
品牌
生物来源
颜色
特色
分子量
熔点(°C)
物质形态
纯度
质量水平
应用
光学异构体
特级
技术
可售
3615-41-6
应用筛选条件
关键词:'3615-41-6'
显示 1-4 #N/A 4 条结果 关于 "3615-41-6" 范围 产品
所有图片(2)
- CAS No.:
- 3615-41-6
- 分子量:
- 164.16
| 比较 | 产品编号 | 说明 | 价格 | |||||
|---|---|---|---|---|---|---|---|---|
| LEYH9B0E544A | ||||||||
| ST9H9BC11A7D | ||||||||
所有图片(1)
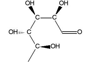
(2R,3R,4S,5S)-2,3,4,5-Tetrahydroxyhexanal
- CAS No.:
- 3615-41-6
- 分子量:
- 164.16
| 比较 | 产品编号 | 说明 | 价格 | |||||
|---|---|---|---|---|---|---|---|---|
| BDPH9C0203C8 | ||||||||
所有图片(3)
| 比较 | 产品编号 | 说明 | 化学品安全说明书 | 价格 | ||||
|---|---|---|---|---|---|---|---|---|
| W373011 | natural sourced, 99%, FG | |||||||
所有图片(5)
别名: 6-脱氧-L-甘露糖, L(+)吡喃鼠李糖
1/1